Details on Risk Calculations
JULY 19, 2023
Computation of Risk Contributions
Fabric uses the Factor covariance matrix from MSCI. This factor covariance matrix underpins the MSCI Multi-Asset Class(MAC) factor model. Using this covariance matrix and the factor exposures for a portfolio of assets, Fabric computes risk analytics for its platform. Below we detail the computations behind the risk contributions chart in the Fabric application.
Suppose we have a portfolio of N assets represented by the allocation vector
. Let
be the factor exposure matrix. This exposure matrix contains the K factor exposures for each of the N assets in the portfolio. Finally, let
the factor covariance matrix.
Using the exposure matrix X and the allocation vector w, we compute the weighted exposure
vector
. This is given by
where T stands for the matrix (or vector) transpose.
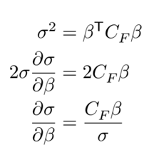
We then have the total volatility of the portfolio in terms of the factor covariance matrix
and
the weighted exposure matrix β.
(1)
We compute the marginal contribution to Risk as the partial derivative of σ with respect to β. This can be done as follows
(2)
Thus, the marginal contribution to risk from the k−th factor is given by
(3)
Now, we know from Euler’s decomposition theorem, we have that
(4)
We see that the total risk σ can be expressed as a sum of the weighted Marginal contributions.
We can normalize (4) to get the following identity:

We thus have the definition for the Percent Contribution to Risk (PCTR) of the k−th factor
(5)
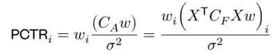
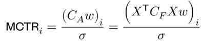
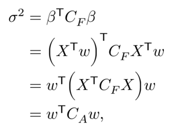
Risk Contributions for assets
We can perform similar computations directly in asset space as well. Noting that
.
(6)
where we define the asset covariance matrix
. Using (6), we can compute marginal and percent contributions of risk for each asset i.
(7)
(8)
Using these individual asset level risk contributions, we can group them according to any level of the taxonomy (Fabric or user-provided).
Similarity Score and Distance to Target
To calculate the similarity score, we start with the percent contribution to factor risk (PCTR) of both the client and target portfolio. These values are represented in the attribution chart- e.g., 72% of the client risk comes from equity and 78% of the target risk. We then take the difference between those risk contributions on a factor-by-factor basis- e.g., there is 6% more risk from the equity factor. These differences are aggregated and normalized to produce the similarity score. Mathematically, it is the L2 norm of the difference between the factor risk contributions, exponentiated with a normalizing factor so that the result is between 0 and 100%.
Formally, we first define the risk distance
between assets 1 and 2 as:
(9)
Using this distance we can define a similarity score
as:
(10)
where Λ is a normalizing factor. The similarity score is a number between 0 and 100. A score of
100 indicates that the two portfolios are identical in terms of their risk factor contributions.
Some key features of the similarity score:
• Factors with larger differences are given much more weight than factors with small differences.
• It is based on the percent contribution to volatility rather than the level of volatility.
• Thus volatility of a portfolio can be controlled independently from its similarity (such as by liquidating all assets proportionally to de-lever the portfolio).
• The normalization is not linear and is designed to ensure sufficient granularity for both portfolios that are very similar and portfolios that are very dissimilar. The similarity is based solely on the factors. Asset-specific risk (idiosyncratic risk/selection risk) is not incorporated.
In contrast, the tracking error is also calculated with the factor covariance but does take into account the level of volatility and the asset-specific risks. As a result:
• A low tracking error always implies a high similarity.
• A high similarity may not be accompanied by low tracking error depending on the portfolio’s
leverage and the selected securities.
Note on the Fund Model
There are two ways of computing factor exposures for mutual funds and ETFs. One way is via look-through i.e., looking at the underlying holdings of the MF/ETF. The other way is via the returns (daily/weekly).
In the first case, the factor exposures are computed at the individual asset level and then aggregated to provide factor exposures for the overall fund level. However, this method relies upon access to the underlying holdings data. This data might not be publicly available for Mutual Funds. Hence, relying on holdings data that are not reported on a weekly basis will ultimately lead to unreliable risk estimates.
In the second case, where returns are used, the factor exposures are computed more frequently through a weekly regression. The returns data is received by MSCI through Lipper (See Appendix C in MSCI Fund Model Documentation). Regressing the fund returns against the factor returns weekly gives an accurate estimate of the factor exposures and hence a better estimate of the risk.
At Fabric, we use the Fund model. This helps accurately measure the risk for Mutual Funds and for funds that use other instruments, notably Futures used in CTA strategies.
Access a better way to understand and work with risk, powered by MSCI’s factor model.
© 2022 Fabric Risk






